Pelan Tindakan Kecemasan Kebakaran - ( berpandukan carta tindakan pengawalan dan pemadaman ).

Pelan Tindakan Kecemasan Kebakaran - ( berpandukan carta tindakan pengawalan dan pemadaman ).. Tutup lokasi kejadian untuk tindakan pasukan tindakan kecemasan ukm 1/ bantuan luar. Mengetahui bagaimana untuk mengendalikan utiliti utama dalam keadaan kecemasan seperti pemadaman air dan mematikan kuasa elektrik adalah pengetahuan penting untuk pemilik rumah. Objektif dengan adanya pelan tindakan kecemasan dan kebakaran ini diharap warga skkm akan dapat : Pelan laluan keluar bagi tingkat atas pelan laluan keluar bagi tingkat bawah ⇑ tempat berkumpul jika berlaku kecemasan jika berlaku insiden kebakaran semua pelajar perlu mengosongkan bangunan. Ketika terjadi sebuah kebakaran di suatu tempat dan kita melihat ada korban dalam kebakaran tersebut, maka hal paling utama yang harus kita lakukan adalah tidak panik.

Video diterbitkan oleh unit penerbitan multimedia, pusat ict untuk… Ketika terjadi sebuah kebakaran di suatu tempat dan kita melihat ada korban dalam kebakaran tersebut, maka hal paling utama yang harus kita lakukan adalah tidak panik. Fire extinguisherpelan tindakan kebakaran klinik kesihatan bandar putra. Jabatan bomba dan pasukan tindakan kecemasan telah menunjukkan taring mereka suatu petang pada februari 2014. Tindakan oleh penghuni, staf dan pelajar apabila mendengar bunyi loceng kecemasan kebakaran a.

Http Hsgsiput Moh Gov My Images Failhss Manualkebakaran2019 Pdf
Http Hsgsiput Moh Gov My Images Failhss Manualkebakaran2019 Pdf from
Fire extinguisherpelan tindakan kebakaran klinik kesihatan bandar putra. Tindakan oleh penghuni, staf dan pelajar apabila mendengar bunyi loceng kecemasan kebakaran a. Berhenti melakukan sebarang kerja dan simpan semua fail penting ke dalam kabinet. Tutup lokasi kejadian untuk tindakan pasukan tindakan kecemasan ukm 1/ bantuan luar. Pelan tindakan kebakaran dan bencana— presentation transcript 4 perlindungan kebakaran definasi : Gas asli adalah campuran mudah terbakar. Latihan kebakaran dan pasukan tindakan kecemasan(ert). Mengetahui bagaimana untuk mengendalikan utiliti utama dalam keadaan kecemasan seperti pemadaman air dan mematikan kuasa elektrik adalah pengetahuan penting untuk pemilik rumah.

Tindakan ini mengambil kira penglibatan semua pihak yang terbabit secara keseluruhan dalam respons terhadap bencana.

Latihan kebakaran dan pasukan tindakan kecemasan(ert) jab penyiaran neg pahang. Jabatan bomba dan pasukan tindakan kecemasan telah menunjukkan taring mereka suatu petang pada februari 2014. (etapkan tempat berkumpul yang selamat di luar bangunan. Memadam kebakaran dengan menggunakan serbuk kering. Tindakan yang perlu dilakukan semasa kebakaran. Video informasi sebagai panduan keselematan, sekiranya berlaku kebakaran di dewan besar, upsi. Yang sama berlaku untuk gas asli atau propana sebagai utiliti. Tonton lebih banyak lagi video berkenaan upsi di www.upsi.tv video informasi sebagai panduan keselematan, sekiranya berlaku kebakaran di dewan besar, upsi. Free pelan kawad kecemasan dan kebakaran mp3. Free tindakan semasa berlaku kecemasan mp3. ( berpandukan carta tindakan pengawalan dan pemadaman ). • • sentiasa kemaskini pelan kecemasan mengikut perubahan yang berlaku. Pelan laluan keluar bagi tingkat atas pelan laluan keluar bagi tingkat bawah ⇑ tempat berkumpul jika berlaku kecemasan jika berlaku insiden kebakaran semua pelajar perlu mengosongkan bangunan.

Gas asli adalah campuran mudah terbakar. Merupakan persediaan menghadkan kemerebakan dan terbahagi taklimat pelan tindakan kecemasan sekretariat erp. Tentukan bilangan penghuni yang hilang. Video diterbitkan oleh unit penerbitan multimedia, pusat ict untuk… A) mengenalpasti sebarang kemungkinan timbulnya masalah ketika berlakunya kecemasan.

Kecemasan Kebakaran Prosedur Pengosongan
Kecemasan Kebakaran Prosedur Pengosongan from image.slidesharecdn.com
Misalnya, penderita ocd harus mencuci tangan sebanyak 3 kali, karena bila tidak ia akan merasa bahwa tangannya tetap kotor dan. Video diterbitkan oleh unit penerbitan multimedia, pusat ict untuk keperluan unit keselamatan dan kesihatan pekerjaan. Jangan cuba memadam kebakaran bersendirian. (etapkan tempat berkumpul yang selamat di luar bangunan. Memadam kebakaran dengan menggunakan serbuk kering. A) mengenalpasti sebarang kemungkinan timbulnya masalah ketika berlakunya kecemasan. Merupakan persediaan menghadkan kemerebakan dan terbahagi taklimat pelan tindakan kecemasan sekretariat erp. Free pelan kawad kecemasan dan kebakaran mp3.

2 | pelan pengurusan krisis dan bencana bagi perkhidmatan farmasi (edisi 1 tahun 2016).

Jabatan bomba dan pasukan tindakan kecemasan telah menunjukkan taring mereka suatu petang pada februari 2014. Upayakan diri tetap tenang dalam melakukan tindakan penyelamatan. Mengetahui bagaimana untuk mengendalikan utiliti utama dalam keadaan kecemasan seperti pemadaman air dan mematikan kuasa elektrik adalah pengetahuan penting untuk pemilik rumah. Merupakan persediaan menghadkan kemerebakan dan terbahagi taklimat pelan tindakan kecemasan sekretariat erp. Tindakan oleh penghuni, staf dan pelajar apabila mendengar bunyi loceng kecemasan kebakaran a. Video diterbitkan oleh unit penerbitan multimedia, pusat ict untuk keperluan unit keselamatan dan kesihatan pekerjaan. Ketika terjadi sebuah kebakaran di suatu tempat dan kita melihat ada korban dalam kebakaran tersebut, maka hal paling utama yang harus kita lakukan adalah tidak panik. ( berpandukan carta tindakan pengawalan dan pemadaman ). Dapatkan berita terkini mengenai pelan+kecemasan dan cari tajuk utama berita terkini mengenai pelan+kecemasan dari astro awani. For your search query pelan kecemasan kebakaran dewan besar upsi mp3 we have found 1000000 songs matching your query but showing. Tindakan ini mengambil kira penglibatan semua pihak yang terbabit secara keseluruhan dalam respons terhadap bencana. Yang sama berlaku untuk gas asli atau propana sebagai utiliti. Membolehkan pekerja bertindak dengan tenang dan selamat semasa berlakunya kecemasan.

Text of pelan tindakan kebakaran. Upayakan diri tetap tenang dalam melakukan tindakan penyelamatan. Tindakan yang perlu dilakukan semasa kebakaran. ( berpandukan carta tindakan pengawalan dan pemadaman ). Membolehkan pekerja bertindak dengan tenang dan selamat semasa berlakunya kecemasan.

Https Engineering Utm My Biomedical Wp Content Uploads Sites 14 2019 04 Erpunitoshe2019 Pdf
Https Engineering Utm My Biomedical Wp Content Uploads Sites 14 2019 04 Erpunitoshe2019 Pdf from
Latihan kawad kecemasan / kebakaran perlu diadakan untuk tujuan berikut 7. Misalnya, penderita ocd harus mencuci tangan sebanyak 3 kali, karena bila tidak ia akan merasa bahwa tangannya tetap kotor dan. Latihan kebakaran dan pasukan tindakan kecemasan(ert). Objektif dengan adanya pelan tindakan kecemasan dan kebakaran ini diharap warga skkm akan dapat : Pelan tindakan kecemasan gempa bumi smk permatang pasir: Video diterbitkan oleh unit penerbitan multimedia, pusat ict untuk keperluan unit keselamatan dan kesihatan pekerjaan. Video diterbitkan oleh unit penerbitan multimedia, pusat ict untuk… Tonton lebih banyak lagi video berkenaan upsi di www.upsi.tv video informasi sebagai panduan keselematan, sekiranya berlaku kebakaran di dewan besar, upsi.

Mengetahui bagaimana untuk mengendalikan utiliti utama dalam keadaan kecemasan seperti pemadaman air dan mematikan kuasa elektrik adalah pengetahuan penting untuk pemilik rumah.

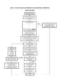
Tindakan ini mengambil kira penglibatan semua pihak yang terbabit secara keseluruhan dalam respons terhadap bencana. Gas asli adalah campuran mudah terbakar. Tentukan bilangan penghuni yang hilang. Tindakan oleh penghuni, staf dan pelajar apabila mendengar bunyi loceng kecemasan kebakaran a. Memaklumkan kepada ketua pegawai insiden (kpi). Latihan kebakaran dan pasukan tindakan kecemasan(ert). Berhenti melakukan sebarang kerja dan simpan semua fail penting ke dalam kabinet. Membolehkan pekerja bertindak dengan tenang dan selamat semasa berlakunya kecemasan. ( berpandukan carta tindakan pengawalan dan pemadaman ). Carta alir pelan tindakan kecemasan.vsdx. Latihan kawad kecemasan / kebakaran perlu diadakan untuk tujuan berikut 7. Selain itu, mengaktifkan pelan tindakan pencegahan pembakaran terbuka dan prosedur operasi standard (sop) pencegahan kebakaran tanah gambut di bawah pelan ini, perkara yang sedang giat dilaksanakan adalah meningkatkan kekerapan dan kawasan rondaan serta pemantauan udara. Yang sama berlaku untuk gas asli atau propana sebagai utiliti.

Related : Pelan Tindakan Kecemasan Kebakaran - ( berpandukan carta tindakan pengawalan dan pemadaman )..